Mezlocillin
Clinical data
AHFS/Drugs.comMicromedex Detailed Consumer Information
Pregnancy
category
  • B
Routes of
administration
Intravenous, intramuscular
ATC code
Pharmacokinetic data
Protein binding16–59%
MetabolismHepatic (20–30%)
Elimination half-life1.3–4.4 hours
ExcretionRenal (50%) and biliary
Identifiers
  • (2S,5R,6R)-3,3-dimethyl-6-[[(2R)-2-[(3-methylsulfonyl-
    2-oxo-imidazolidine-1-carbonyl)amino]-2-phenyl-acetyl]
    amino]-7-oxo-4-thia-1-azabicyclo[3.2.0]heptane-2-
    carboxylic acid
CAS Number
PubChem CID
DrugBank
ChemSpider
UNII
KEGG
ChEBI
ChEMBL
CompTox Dashboard (EPA)
ECHA InfoCard100.052.013
Chemical and physical data
FormulaC21H25N5O8S2
Molar mass539.58 g·mol−1
3D model (JSmol)
  • O=C(O)[C@@H]3N4C(=O)[C@@H](NC(=O)[C@@H](c1ccccc1)NC(=O)N2C(=O)N(S(=O)(=O)C)CC2)[C@H]4SC3(C)C
  • InChI=1S/C21H25N5O8S2/c1-21(2)14(18(29)30)26-16(28)13(17(26)35-21)22-15(27)12(11-7-5-4-6-8-11)23-19(31)24-9-10-25(20(24)32)36(3,33)34/h4-8,12-14,17H,9-10H2,1-3H3,(H,22,27)(H,23,31)(H,29,30)/t12-,13-,14+,17-/m1/s1 checkY
  • Key:YPBATNHYBCGSSN-VWPFQQQWSA-N checkY
  (verify)

Mezlocillin is a broad-spectrum penicillin antibiotic. It is active against both Gram-negative and some Gram-positive bacteria. Unlike most other extended spectrum penicillins, it is excreted by the liver, therefore it is useful for biliary tract infections, such as ascending cholangitis.

Mechanism of action

Like all other beta-lactam antibiotics, mezlocillin inhibits the third and last stage of bacterial cell wall synthesis by binding to penicillin binding proteins. This ultimately leads to cell lysis.

Susceptible organisms

Gram-negative

Synthesis

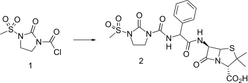
Mezlocillin synthesis:[1][2]

Mezlocillin can be made in a variety of ways including reaction of ampicillin with chlorocarbamate 1 in the presence of triethylamine. Chlorocarbamate 1 itself is made from ethylenediamine by reaction with phosgene to form the cyclic urea followed by monoamide formation with methanesulfonyl chloride and then reaction of the other nitrogen atom with phosgene and trimethylsilylchloride.

The closely related analogue azlocillin is made in essentially the same manner as mezlocillin. but with omission of the methylation step.

References

  1. W. Schroeck, H. R. Furtwaengier, H. B. Koenig, and K. G.Metzer, German Offen. 2,318,955 (1973); Chem. Abstr., 82,31313b (1975).
  2. H. B. Koenig, K. G. Metzer, H. A. Offe, and W. Schroeck, Eur. J_. Med. Chem., 17, 59 (1982).

Further reading

  • Kristof R, Clusmann H, Koehler W, Fink K, Schramm J (1998). "Treatment of accidental high dose intraventricular mezlocillin application by cerebrospinal fluid exchange". J Neurol Neurosurg Psychiatry. 64 (3): 379–81. doi:10.1136/jnnp.64.3.379. PMC 2170014. PMID 9527154.
  • McCormick P, Greenslade L, Kibbler C, Chin J, Burroughs A, McIntyre N (1997). "A prospective randomized trial of ceftazidime versus netilmicin plus mezlocillin in the empirical therapy of presumed sepsis in cirrhotic patients". Hepatology. 25 (4): 833–6. doi:10.1002/hep.510250408. PMID 9096584. S2CID 45046625.
  • Rohde B, Werner U, Hickstein H, Ehmcke H, Drewelow B (1997). "Pharmacokinetics of mezlocillin and sulbactam under continuous veno-venous hemodialysis (CVVHD) in intensive care patients with acute renal failure". Eur J Clin Pharmacol. 53 (2): 111–5. doi:10.1007/s002280050347. PMID 9403281. S2CID 20525389.


This article is issued from Wikipedia. The text is licensed under Creative Commons - Attribution - Sharealike. Additional terms may apply for the media files.