Imiloxan
Clinical data
ATC code
  • none
Identifiers
  • (RS)-2-(2,3-dihydro-1,4-benzodioxin-2-ylmethyl)-1-ethylimidazole
CAS Number
PubChem CID
IUPHAR/BPS
ChemSpider
UNII
ChEMBL
CompTox Dashboard (EPA)
Chemical and physical data
FormulaC14H16N2O2
Molar mass244.294 g·mol−1
3D model (JSmol)
  • CCN1C=CN=C1CC2COC3=CC=CC=C3O2
  • InChI=1S/C14H16N2O2/c1-2-16-8-7-15-14(16)9-11-10-17-12-5-3-4-6-13(12)18-11/h3-8,11H,2,9-10H2,1H3 ☒N
  • Key:UXABARREKCJULM-UHFFFAOYSA-N ☒N
 ☒NcheckY (what is this?)  (verify)

Imiloxan is a drug which is used in scientific research. It acts as a selective antagonist for the α2B adrenergic receptor,[1] and has been useful for distinguishing the actions of the different α2 adrenergic subtypes.[2][3]

Synthesis

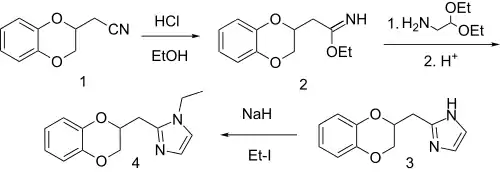
Imiloxan Synthesis:[4]

The imidazole portion of imiloxan is prepared by the reaction of an imidate with the diethyl acetal of aminoacetaldehyde. N-Alkylation of the imidazole with ethyl iodide gives imiloxan.

References

  1. Michel AD, Loury DN, Whiting RL (March 1990). "Assessment of imiloxan as a selective alpha 2B-adrenoceptor antagonist". British Journal of Pharmacology. 99 (3): 560–4. doi:10.1111/j.1476-5381.1990.tb12968.x. PMC 1917331. PMID 1970500.
  2. Cobos-Puc LE, Villalón CM, Sánchez-López A, Lozano-Cuenca J, Pertz HH, Görnemann T, Centurión D (January 2007). "Pharmacological evidence that alpha2A- and alpha2C-adrenoceptors mediate the inhibition of cardioaccelerator sympathetic outflow in pithed rats". European Journal of Pharmacology. 554 (2–3): 205–11. doi:10.1016/j.ejphar.2006.09.068. PMID 17109851.
  3. Romero TR, de Castro Perez A, de Francischi JN, Gama Duarte ID (April 2009). "Probable involvement of alpha(2C)-adrenoceptor subtype and endogenous opioid peptides in the peripheral antinociceptive effect induced by xylazine". European Journal of Pharmacology. 608 (1–3): 23–7. doi:10.1016/j.ejphar.2009.02.019. PMID 19236861.
  4. Caroon JM, Clark RD, Kluge AF, Olah R, Repke DB, Unger SH, et al. (June 1982). "Structure-activity relationships for 2-substituted imidazoles as alpha 2-adrenoceptor antagonists". Journal of Medicinal Chemistry. 25 (6): 666–70. doi:10.1021/jm00348a012. PMID 6124635.
  • Media related to Imiloxan at Wikimedia Commons
This article is issued from Wikipedia. The text is licensed under Creative Commons - Attribution - Sharealike. Additional terms may apply for the media files.