Elfazepam
Clinical data
ATC code
  • none
Identifiers
  • 7-Chloro-1-(2-ethylsulfonylethyl)-5-(2-fluorophenyl)-3H-1,4-benzodiazepin-2-one
CAS Number
PubChem CID
ChemSpider
UNII
CompTox Dashboard (EPA)
Chemical and physical data
FormulaC19H18ClFN2O3S
Molar mass408.87 g·mol−1
3D model (JSmol)
  • O=S(CC)(CCN1C(CN=C(C2=CC=CC=C2F)C3=C1C=CC(Cl)=C3)=O)=O
  • InChI=1S/C19H18ClFN2O3S/c1-2-27(25,26)10-9-23-17-8-7-13(20)11-15(17)19(22-12-18(23)24)14-5-3-4-6-16(14)21/h3-8,11H,2,9-10,12H2,1H3 checkY
  • Key:BSPSXMXQKZZNFP-UHFFFAOYSA-N checkY
  (verify)

Elfazepam[1] is a drug which is a benzodiazepine derivative.[2] Presumably it has sedative and anxiolytic actions like those of other benzodiazepines.

Orexigenic properties in animals.[3][4] The mechanism for increasing feed intake is not clear and has been subject of investigation.[5] It has been found that elfazepam suppresses gastric acid secretion.[6]

Synthesis

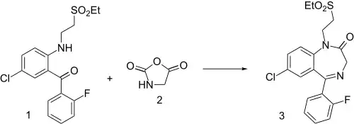
Elfazepam synthesis: U.S. Patent 4,010,154

Benzophenone derivative 1 is reacted with a glycine equivalent masked as an oxazolidine-2,5-dione 2 to give the final product 3 Elfazepam.

References

  1. U.S. Patent 4,010,154
  2. Psychotropics.dk
  3. Baile CA, McLaughlin CL (November 1979). "A review of the behavioral and physiological responses to elfazepam, a chemical feed intake stimulant". Journal of Animal Science. 49 (5): 1371–95. doi:10.2527/jas1979.4951371x. PMID 396294.
  4. Baile CA, Naylor J, McLaughlin CL, Catanzaro CA (August 1981). "Endotoxin-elicited fever and anorexia and elfazepam-stimulated feeding in sheep". Physiology & Behavior. 27 (2): 271–7. doi:10.1016/0031-9384(81)90269-9. PMID 7029576. S2CID 12408796.
  5. Keim DA, Baile CA, Bolton JR, Wangsness PJ, Della Fera MA (January 1979). "Abomasal function following injections of elfazepam and 9-aza-cannabinol". Pharmacology, Biochemistry, and Behavior. 10 (1): 63–70. doi:10.1016/0091-3057(79)90170-9. PMID 35793. S2CID 915512.
  6. Van Den Broek GW, Robertson J, Keim DA, Baile CA (July 1979). "Feeding and depression of abomasal secretion in sheep elicited by elfazepam and 9-aza-cannabinol". Pharmacology, Biochemistry, and Behavior. 11 (1): 51–6. doi:10.1016/0091-3057(79)90296-x. PMID 493298. S2CID 33152825.
This article is issued from Wikipedia. The text is licensed under Creative Commons - Attribution - Sharealike. Additional terms may apply for the media files.