Cimicoxib
Names
Preferred IUPAC name
4-[4-Chloro-5-(3-fluoro-4-methoxyphenyl)-1H-imidazol-1-yl]benzene-1-sulfonamide
Identifiers
3D model (JSmol)
ChEBI
ChEMBL
ChemSpider
ECHA InfoCard 100.170.774
UNII
  • InChI=1S/C16H13ClFN3O3S/c1-24-14-7-2-10(8-13(14)18)15-16(17)20-9-21(15)11-3-5-12(6-4-11)25(19,22)23/h2-9H,1H3,(H2,19,22,23)
    Key: KYXDNECMRLFQMZ-UHFFFAOYSA-N
  • InChI=1/C16H13ClFN3O3S/c1-24-14-7-2-10(8-13(14)18)15-16(17)20-9-21(15)11-3-5-12(6-4-11)25(19,22)23/h2-9H,1H3,(H2,19,22,23)
    Key: KYXDNECMRLFQMZ-UHFFFAOYAQ
  • O=S(=O)(c3ccc(n1c(c(Cl)nc1)c2ccc(OC)c(F)c2)cc3)N
Properties
C16H13ClFN3O3S
Molar mass 381.81 g·mol−1
Pharmacology
QM01AH93 (WHO)
Except where otherwise noted, data are given for materials in their standard state (at 25 °C [77 °F], 100 kPa).
Infobox references

Cimicoxib (UR-8880 trade name Cimalgex) is a nonsteroidal anti-inflammatory drug (NSAID) used in veterinary medicine to treat dogs for pain and inflammation associated with osteoarthritis and for the management of pain and inflammation associated with surgery.[1] It acts as a COX-2 inhibitor.

Synthesis

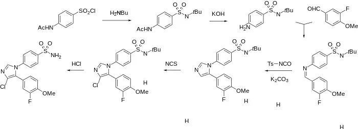
Cimicoxib synthesis:[2]

Reaction of the imine with TosMIC in the presence of potassium carbonate leads to what may be viewed as 2+3 cycloaddition of the nitrogen analogue of a ketene to form the imidazole ring.

References

  1. "European Public Assessment Report: Cimalgex (cimicoxib)". European Medicines Agency. 17 September 2018.
  2. Almansa, Carmen; Alfón, José; de Arriba, Alberto F.; Cavalcanti, Fernando L.; Escamilla, Ignasi; Gómez, Luis A.; Miralles, Agustí; Soliva, Robert; Bartrolí, Javier; Carceller, Elena; Merlos, Manuel; García-Rafanell, Julián (2003). "Synthesis and Structure−Activity Relationship of a New Series of COX-2 Selective Inhibitors:  1,5-Diarylimidazoles". Journal of Medicinal Chemistry. 46 (16): 3463–3475. doi:10.1021/jm030765s. ISSN 0022-2623. PMID 12877584.


This article is issued from Wikipedia. The text is licensed under Creative Commons - Attribution - Sharealike. Additional terms may apply for the media files.