Butacaine
Names
Preferred IUPAC name
3-(Dibutylamino)propyl 4-aminobenzoate
Identifiers
3D model (JSmol)
ChEMBL
ChemSpider
ECHA InfoCard 100.005.214
UNII
  • InChI=1/C18H30N2O2/c1-3-5-12-20(13-6-4-2)14-7-15-22-18(21)16-8-10-17(19)11-9-16/h8-11H,3-7,12-15,19H2,1-2H3
    Key: HQFWVSGBVLEQGA-UHFFFAOYAZ
  • O=C(OCCCN(CCCC)CCCC)c1ccc(N)cc1
Properties
C18H30N2O2
Molar mass 306.443 g/mol
Except where otherwise noted, data are given for materials in their standard state (at 25 °C [77 °F], 100 kPa).
Infobox references

Butacaine is a white crystalline ester used as a local anesthetic.

Synthesis

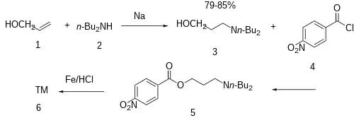
Thieme Synthesis:[1][2] Patents:[3][4][5][6] γ-di-n-butylaminopropanol:[7]

The addition of metallic sodium is added to a mixture of allyl alcohol (1) and N,N-dibutylamine (2) gives the conjugate addition product and hence 3-dibutylamino-1-propanol [2050-51-3] (3). Esterification of this intermediate with para-nitrobenzoyl chloride [122-04-3] (4) gives CID:4588466 (5). The reduction of the nitro group completed the synthesis of butacaine (6).

See also

References

  1. Burnett, W. B.; Jenkins, R. L.; Peet, C. H.; Dreger, E. E.; Adams, Roger (1937). "Dialkylaminoalkanol Esters of p-Aminobenzoic Acid". Journal of the American Chemical Society 59 (11): 2248–2252. doi:10.1021/ja01290a041.
  2. Kaye, Irving Allan; Roberts, I. Melville (1951). "Dialkylaminoalkyl Esters of 2-Amino-6-carboxybenzothiazole". Journal of the American Chemical Society 73 (10): 4762–4764. doi:10.1021/ja01154a084.
  3. Oliver Kamm, Roger Adams, Volwiler Ernest H., U.S. Patent 1,358,751 (1920 to Abbott Lab).
  4. Adams Roger, Ernest H Volwiler, U.S. Patent 1,676,470 (1928 to Abbott Lab).
  5. Weston Arthur W, U.S. Patent 2,437,984 (1948 to Abbott Lab).
  6. Anon., GB 191122 (1922-12-27 to Abbott Lab).
  7. Kurihara, Tozaburo; Niwa, Hiroshi; Chiba, Katsuichi (1954). "Synthesis of γ-Alkylaminopropanols". YAKUGAKU ZASSHI. 74 (7): 763–766. doi:10.1248/yakushi1947.74.7_763.
This article is issued from Wikipedia. The text is licensed under Creative Commons - Attribution - Sharealike. Additional terms may apply for the media files.