![]() | |
| Names | |
|---|---|
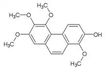
| Preferred IUPAC name
1,5,6,7-Tetramethoxyphenanthren-2-ol | |
| Identifiers | |
3D model (JSmol) |
|
| ChEMBL | |
| ChemSpider | |
PubChem CID |
|
| |
| |
| Properties | |
| C18H18O5 | |
| Molar mass | 314.337 g·mol−1 |
Except where otherwise noted, data are given for materials in their standard state (at 25 °C [77 °F], 100 kPa).
Infobox references | |
7-Hydroxy-2,3,4,8-tetramethoxyphenanthrene is one of several phenanthrenes contained in the rhizome of Dioscorea communis.[1]
References
- ↑ Phenanthrenes and a dihydrophenanthrene from Tamus communis and their cytotoxic activity. Adriána Kovácsa, Peter Forgob, István Zupkóc, Borbála Réthyc, György Falkayc, Pál Szabód and Judit Hohmanna, Phytochemistry, Volume 68, Issue 5, March 2007, Pages 687–691, doi:10.1016/j.phytochem.2006.10.028
This article is issued from Wikipedia. The text is licensed under Creative Commons - Attribution - Sharealike. Additional terms may apply for the media files.
